Le réchauffement climatique
L’objectif de cette partie est de voir quelques notions physiques sur le réchauffement climatique. Les grands principes physiques régissant le climat sur Terre nous amèneront à comprendre comment l’équilibre énergétique de la planète peut être perturbé et engendrer le réchauffement que l’on observe et que l’on analysera.
Pour plus de détails, on pourra lire le chapitre 3 de Blanc & Noûs (2023).
1Comprendre le climat terrestre¶
1.1Météo ou climat ?¶
De nombreux amalgames sont faits quotidiennement dans les médias et même dans nos conversations « climatiques » avec nos proches. On confond facilement la météo quotidienne avec le climat. Il fait froid ? Mais où est le réchauffement climatique ? Il fait chaud, trop chaud, alors il est bel et bien installé, le réchauffement climatique...
La météorologie et la climatologie étudient toutes deux essentiellement la dynamique des phénomènes atmosphériques (nuages, précipitations, vents, etc). Cette dynamique est étudiée à partir de paramètres physiques observés (pression, température, humidité, vitesse du vent, etc.) en différents lieux géographiques et de leur évolution dans le temps.
La météorologie s’intéresse à une trajectoire dans l’espace des paramètres de l’atmosphère (une seule « réalisation » !), ainsi qu’à l’interaction entre ces paramètres pendant les évènements observés. L’échelle de temps d’une prévision est typiquement de quelques jours, car au-delà elle est brouillée par le système chaotique qu’est l’atmosphère. L’échelle spatiale va du très local à l’ensemble d’un pays ou de la planète.
La climatologie, quant à elle, s’intéresse à l’ensemble des trajectoires possibles dans l’espace des paramètres, d’une manière statistique (processus aléatoire), c’est-à-dire moyennée, et ce sur des échelles de temps bien plus grandes (mois, saisons, années, décennies, siècles, millénaires, etc). Elle n’intéresse généralement pas l’échelle spatiale locale.
Il est donc possible de prévoir (avec une incertitude) le temps qu’il va faire à un endroit donné, jusqu’à environ une semaine à 10 jours, c’est une prévision météorologique. On peut prévoir le climat qu’il fera à un endroit donné (ou dans une région donnée) dans plusieurs mois, années, décennies, toujours avec une incertitude, mais on peut pas dire exactement quel temps il fera tel jour dans 10 ans.
Les paramètres météorologiques font l’objet de fortes fuctuations en peu de temps : la température en un lieu donné peut varier de plusieurs dizaines de degrés en moins de 24 heures. Les paramètres climatologiques fluctuent beaucoup moins que les paramètres météorologiques : la température moyenne à la surface du globle fluctue typiquement de moins de 0,1 degré par an...
1.2La machine climatique¶
La partie « visible » du climat se joue dans l’atmosphère, mais c’est un peu comme la partie émergée de l’iceberg. De fait, l’océan, fortement couplé à l’atmosphère, joue un rôle prépondérant, même si moins « visible. »
La source d’énergie de la « machine climatique » est le rayonnement électromagnétique provenant du Soleil.
À cela s’ajoutent de nombreux autres acteurs (voir figure 1) :
- la biosphère ;
- les activités humaines ;
- la cryosphère (les glaces) ;
- différentes molécules (gaz à effet de serre, etc) ;
- etc.
Le tout étant interconnecté ! Nous nous limiterons ici à exposer quelques notions concernant la physique de l’atmosphère (et un peu des océans), afin d’avoir une compréhension succincte du climat et du réchauffement climatique.

Figure 1:Schéma illustrant les différents acteurs du climat, qui ne se limitent pas à l’atmosphère. Source : Le Monde Diplomatique
1.3L’atmosphère terrestre¶
L’atmosphère se concentre sur quelques kilomètres d’épaisseur (90 % de sa masse dans les 16 premiers kilomètres), ce qui paraît dérisoire par rapport à la taille de la Terre, dont le rayon est de 6371 km (figure 2).
La figure 3 montre les différentes couches de l’atmosphère. Les phénomènes météorologiques et le climat concernent pour l’essentiel la plus basse couche, la troposphère qui s’étend jusqu’à 8 à 15 km d’altitude en moyenne selon la latitude et la saison. La température y décroit en moyenne de 6,4 °C tous les 1000 m d’altitude. La pression de 1013 hPa en moyenne au niveau de la mer diminue jusqu’à environ 200 hPa à 10 km d’altitude.
Au-delà se trouve la stratosphère qui s’étend jusqu’à environ 50 km d’altitude (soit, en terme de pression, d’environ 200 hPa jusqu’à environ 1 hPa). La température est constante dans la basse stratosphère puis augmente. La limite entre la troposphère et la stratosphère est la tropopause.
La troposphère est le siège de mouvements convectifs, tandis que la stratosphère est stable dynamiquement (stratification verticale). La partie haute contient la couche d’ozone qui nous protège du rayonnement ultraviolet du Soleil.

Figure 2:Vue de l’atmosphère terrestre depuis l’espace : une fine couche d’air concentrée dans 16 km d’épaisseur (pour les 90 % de sa masse).

Figure 3:Schéma en coupe des différentes couches de l’atmosphère avec le profil de la température des moyennes latitudes. Source : Météo France
L’atmosphère est essentiellement composée de diazote à 78 % et de dioxygène à 21 % (en nombre). Dans le pourcent restant, on trouve essentiellement des gaz rares (argon, néon, hélium, krypton, xénon), des gaz à effet de serre (vapeur d’eau, dioxyde de carbone, méthane, etc), comme indiqué dans le tableau 1.
Table 1:Composition de l’atmosphère. L’abondance (ou fraction molaire) est le nombre de molécules du gaz considéré par rapport au nombre de molécules d’air dans un certain volume.
| Gaz | Fraction du volume |
|---|---|
| Abondance constante | |
| Azote (N) | 78,08 % |
| Oxygène (O) | 20,95 % |
| Argon (Ar) | 0,93 % |
| Néon (Ne) | 0,0018 % |
| Hélium (He) | 0,0005 % |
| Krypton (Kr) | 0,00011 % |
| Xénon (Xe) | 0,000009 % |
| Abondance variable | |
| Vapeur d’eau (HO) | 4,0 % (maximum aux tropiques) 0,00001 % (minimum au Pôle Sud) |
| Dioxyde de carbone (CO) | 0,04 % (augmente de 0,5 % par an) |
| Méthane (CH) | 0,00018 % (augmente) |
| Hydrogène (H) | 0,00006 % |
| Peroxyde d’azote (NO) | 0,00003 % |
| Monoxyde de carbone (CO) | 0,000009 % |
| Ozone (O) | 0,000001 % - 0,0004 % |
1.4Les océans¶
Les mers et océans représentent une surface d’environ soit 70,8 % de la surface terrestre. Leur volume est d’environ , et leur profondeur moyenne est de 3700 à 3800 m. Ils contiennent 96 % de la masse d’eau sur Terre (sous forme liquide). La masse volumique de l’eau de mer est de en surface ; la masse totale des eaux océaniques est d’environ , soit 0,023 % de la masse totale de la Terre.
1.4.1Le thermostat de la Terre¶
La quantité d’énergie (sous forme de chaleur) nécessaire pour élever la température d’un matériau donné de est donnée par :
où est la masse du matériau en question, est sa capacité calorifique (ou capacité thermique, elle s’exprime en JK), c’est-à-dire sa capacité à élever sa température de avec l’apport de chaleur ; est la capacité calorifique massique.
La capacité calorifique massique de l’eau est : . Tandis que pour l’air elle est de : . Il faut donc 4 fois plus d’énergie pour élever la température de 1 K de 1 kg d’eau de mer que pour 1 kg d’air. La quantité de chaleur nécessaire pour élever la température de \textit{toute l’atmosphère} de 1 K est donc la même que celle nécessaire pour élever la température de 1 K des 2,5 m superficiels de l’océan.
On a donc dans les océans une masse d’eau importante, eau qui possède une capacité calorifique élevée, ce qui fait des océans un système avec une grande inertie thermique.
L’océan est donc le principal régulateur du climat mondial, avec de surcroît des échanges radiatifs, mécaniques, gazeux et aqueux continuels avec l’atmosphère.
L’océan absorbe, stocke et transporte dans son mouvement la chaleur du Soleil en affectant la température et la circulation de l’atmosphère.
1.5La source d’énergie : le Soleil¶
1.5.1La puissance reçue¶
La Terre reçoit son énergie essentiellement du Soleil (une fraction négligeable — 0,01 % — provenant du centre de la Terre due à la radioactivité de l’uranium, du thorium et du potassium).
En moyenne (sur une année et sur toute la surface), le sommet de l’atmosphère terrestre reçoit de la part du Soleil une puissance surfacique de 341 .
1.5.2Une distribution géographique inégale¶
L’énergie solaire incidente n’est pas répartie de manière homogène sur toute la planète, principalement à cause de la rotondité de la Terre, avec donc plus d’énergie reçue au niveau des tropiques qu’au niveau des pôles.
L’inégale répartition géographique du rayonnement incident induit un déséquilibre énergétique qui provoque des mouvements atmosphériques et océaniques. Ces mouvements atmosphériques (circulation méridienne organisée en « cellules ») et océaniques (circulation de surface due à la rotation de la Terre, et circulation profonde due, entre autre, aux différences de densité des masses d’eau liées à leurs température et salinité) redistribuent ainsi l’énergie depuis les régions de basse latitude jusqu’aux hautes latitudes. Les flux énergétiques de l’équateur vers les pôles sont du même ordre de grandeur entre l’atmosphère et l’océan, à savoir de W à W.
1.6Les lois du rayonnement¶
Pour comprendre l’effet de serre, il faut comprendre le bilan radiatif de la Terre. Pour cela, nous allons voir quelques notions indispensables sur le rayonnement électromagnétique.
Le transfert de la chaleur d’un milieu chaud vers un milieu froid peut se faire selon trois processus physiques distincts :
- La conduction, dans un milieu matériel, sans transfert de matière (propagation de l’énergie cinétique d’agitation thermique des atomes ou molécules) — essentiellement dans les solides.
- La convection, dans un milieu matériel, avec transfert de matière dans un champ gravitationnel (force d’Archimède) — essentiellement dans les liquides et les gaz.
- Le rayonnement, émission de photons par tous les corps ayant une température non nulle, pouvu que le milieu environnant leur soit transparent (donc y compris dans le vide).
Tous les corps émettent un rayonnement électromagnétique en fonction de leur température. Les physiciens modélisent cela par le concept de corps noir. Un corps noir est un corps qui absorbe, sans la réfléchir ni la diffuser, toute l’énergie électromagnétique qu’il reçoit ; c’est un « objet » idéal dont le spectre d’émission électromagnétique ne dépend que de sa température.
Un tel « corps noir » reçoit donc de l’énergie. Quand il se trouve à l’équilibre avec son milieu environnant, il perd forcément de l’énergie. Si ce n’était pas le cas, sa température augmenterait indéfiniment... Ce qui est irréaliste ! Un corps noir réémet donc l’énergie qu’il a absorbé sous forme de rayonnements électromagnétiques. L’énergie ainsi réémise dépend de sa température.
Le modèle du corps noir est basé sur les lois de la mécanique quantique (nécessité de quantifier l’énergie des photons pour expliquer les observations) et de la mécanique statistique (les photons forment un gaz de bosons).
La densité surfacique de puissance émise par un corps noir est donnée par la loi de Stefan-Boltzmann :
où est la constante de Stefan, et est la température (en kelvin — K).
2L’effet de serre¶
Le rayonnement solaire (essentiellement dans le domaine « visible » de longueur d’onde) réchauffe les basses couches de l’atmosphère et la surface de la Terre. Celle-ci atteint une température d’équilibre d’environ 15 °C en moyenne sur toute sa surface et sur l’ensemble de l’année. En vertu du modèle du corps noir, la surface terrestre émet un rayonnement infrarouge (autour de 10 m de longueur d’onde) vers l’atmosphère.
Or, une petite quantité de gaz présents dans l’atmosphère — les gaz à effet de serre (HO, CO, CH, N0, etc.) — absorbe (en partie) ce rayonnement infrarouge émis par la surface de la Terre. Cette absorption se fait dans l’infrarouge thermique, autour de 10 m, grâce à la capacité de ces molécules à vibrer sous l’action de tels photons infrarouges.
L’absorption de ce rayonnement infrarouge thermique réchauffe l’atmosphère, qui a son tour émet un rayonnement infrarouge à la fois vers l’espace et vers le sol. Le bilan de tout cela est que la présence de ces gaz à effet de serre permet un équilibre thermique comme le montre la figure 4.

Figure 4:Illustration des différents échanges radiatifs entre la surface terrestre et l’atmosphère adaptée de Trenberth et al. (2009).
C’est cet équilibre thermique qui « adoucit » la température moyenne à la surface du globe à environ 15 °C. Sans l’atmosphère, la température moyenne à la surface serait de -18 °C.
2.1Échanges radiatifs réels¶
La figure 4 montre les différents flux radiatifs et énergétiques au sein de l’atmosphère tels qu’ils sont à l’équilibre thermique (sans réchauffement climatique), de manière légèrement simplifiée (adaptée de Trenberth et al. (2009)).
L’équilibre purement radiatif ne suffit pas à décrire les échanges d’énergie dans l’atmosphère, il faut tenir compte d’un transfert thermique depuis le sol par conduction (17 ). Ainsi que de la chaleur latente de l’eau (80 ) : au niveau du sol, l’eau prélève de l’énergie pour s’évaporer (l’évaporation de l’eau est un processus physique endothermique), avant de s’élever et de la restituer au niveau des nuages en se condensant (inversement, la condensation de l’eau est exothermique).
L’effet de serre se traduit par le bilan :
soit :
2.2Réchauffement climatique¶
Actuellement, l’atmosphère terrestre n’est plus à l’équilibre, à cause de l’accumulation de gaz à effet de serre qu’elle subit. Un surplus d’énergie s’accumule dans l’atmosphère, ce qui engendre un décalage de l’équilibre thermique d’environ +2,72 , ce qui représente environ 2 % de l’énergie thermique emmagasinée par l’effet de serre naturel.
2.3Forçages radiatifs¶
Beaucoup de paramètres interviennent dans la machine climatique, certains ayant un effet renforçant le réchauffement, d’autres au contraire le diminuant.
On parle de forçages radiatifs : forçage car il s’agit d’une perturbation de l’état d’équilibre du système climatique ; radiatif car ces effets modifient l’équilibre entre rayonnement entrant (solaire) et sortant (thermique). Les forçages sont donnés de manière algébrique en .
La figure 5 montre les principaux forçages radiatifs estimés : les gaz à effet de serre (dioxyde de carbone : CO, méthane : CH, protoxyde d’azote : NO, hydrocarbures halogénés, etc), qui provoquent un forçage positif ; l’ozone, en particulier troposphérique\footnote{L’ozone stratosphérique constitue la couche d’ozone qui filtre le rayonnement ultraviolet issu du Soleil ; cet ozone-là est détruit par les activités humaines.} (issu des activités humaines) provoquant un forçage positif, la modification de l’albédo de la surface de la Terre liée aux activités humaines avec un léger forçage négatif. Les aérosols (fines particules en suspension dans l’atmosphère) et les nuages provoquent un forçage négatif. Les changements dans les flux d’énergie issus du Soleil (irradiance solaire) sont négligeables par rapport aux forçages issus des activités anthropiques. Sur cette figure, les incertitudes sur chacun des forçages présentés sont indiquées.

Figure 5:Forçages radiatifs moyens globaux du système climatique en 2022, par rapport à 1750.
3Les gaz à effet de serre¶
3.1Qu’est-ce ?¶
Les gaz à effet de serre sont des gaz qui ont la particularité d’absorber le rayonnement infrarouge thermique. Ces gaz sont présents en très petite quantité dans l’atmosphère, de manière « naturelle » ou rejettés par les activités humaines. La figure 6 illustre les deux catégories de gaz à effet de serre.

Figure 6:Illustration des différentes contributions à l’effet de serre. Pour l’effet de serre additionnel (anthropique), seuls sont pris en comptes les gaz à effet de serre (GES).
3.2Comparer les effets des différents gaz¶
Les effets de ces différents gaz sur l’effet de serre ne sont pas équivalents, cela dépend de leur propriétés. On peut les comparer par leur temps de résidence moyen dans l’atmosphère, et surtout par leur pouvoir de réchauffement global (PRG) (Global Warming Potential).
Table 2:Temps de résidence moyen (temps caractéristique de décroissance exponentielle), efficacité radiative (ppb = parties par milliard), et pouvoir de réchauffement global pour différents horizons temporels. Tiré de IPCC (2007), chapitre 2.
| Gaz | Temps de résidence (années) | Efficacité radiative () | PRG à 100 ans |
|---|---|---|---|
| CO | > 100 | 1 | |
| CH | 12 | 25 | |
| NO | 114 | 298 | |
| CF | 50000 | 0,10 | 7390 |
| SF | 800-3500 | 23900 |
C’est une estimation de l’influence d’un gaz sur l’effet de serre par rapport à un gaz de référence. Il dépend des propriétés radiatives des gaz mais aussi de leurs temps de résidence dans l’atmosphère. Ainsi le pouvoir de réchauffement global du gaz par rapport au gaz de référence pour l’horizon temporel est donné par IPCC (2007), p. 210 :
où est l’efficacité radiative du gaz et est la concentration du gaz à l’instant en réponse à l’émission d’une unité de masse de ce gaz à l’instant . Notons que le produit de l’efficacité radiative par la concentration donne le forçage radiatif du gaz considéré.
Par convention (depuis le protocol de Kyoto), l’horizon temporel est fixé à 100 ans, et le gaz de référence est le CO. Le tableau 2 donne quelques valeurs du PRG pour quelques gaz.
On constate notamment que l’émission dans l’atmosphère de 1 kg de méthane aura le même effet radiatif en moyenne pendant un siècle que l’émission de 25 kg de dioxyde de carbone ! Cela permet définir l’unité de mesure d’un bilan d’émission de gaz à effet de serre qui est le « kilogramme équivalent CO ». Ainsi, 1 kg de méthane rejeté équivaut à 25 kgCOéq.
3.3Pourquoi un gaz est un gaz à effet de serre ?¶
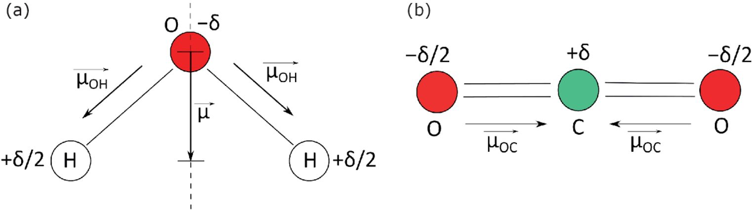
L’interaction du rayonnement infrarouge thermique avec les molécules provoque leur vibration. Mais pour que cette interaction ait lieu il faut que la vibration soit possible. Il faut ainsi que la molécule ait moment dipolaire électique (une grandeur qui quantifie le fait que les charges électriques du noyau atomique et du nuage électronique ne sont pas exactement superposées — elles ne sont pas réparties symétriquement) soit permanent, soit induit par le champ électromagnétique lui-même. À partir du moment où ce moment dipolaire peut varier, la molécule peut intéragir avec le rayonnement infrarouge et donc l’absorber (figure 7).

Figure 7:Moment dipolaire et molécules HO et CO. (a) HO, molécule dipolaire. Le barycentre des charges + est sur l’atome d’oxygène, tandis que celui des charges - est entre les deux atomes d’hydrogène. Le moment dipolaire total est la somme (vectorielle) des moments dipolaires des deux couples OH. (b) CO, molécule apolaire. Le barycentre des charges + est confondu avec celui des charges –. Le moment dipolaire résultant, somme vectorielle des moments dipolaires des deux couples OC, est nul.
Les vibrations de la molécules sont quantifiées et correspondent donc à des niveaux bien précis d’énergie (figure 8).

Figure 8:Illustration des différents modes de vibration de la molécule de dioxyde de carbone avec le nombre d’onde () et la longueur d’onde associées. La vibration symétrique du milieu n’entraîne pas d’absorption, car le moment dipolaire ne varie pas.
3.4Le cycle du carbone¶
3.4.1Unités¶
Les stocks et flux de carbone s’expriment dans la littérature avec différentes unités, notamment les tonnes de CO ou les tonnes de carbone. Pour faire le lien entre les deux, il faut se souvenir que la masse molaire de la molécule de dioxyde de carbone est de 44 g/mol. Elle contient un atome de carbone, dont la mase molaire est 12 g/mol. Donc un gramme de CO contient 12/44 = 0,273 gramme de C.
- 1 kg de C = 1 kg de CO 12/44 = 1 kg de CO 0,273
- 1 kg de CO = 1 kg de C 44/12 = 1 kg de C 3,667
Le GIEC utilise le PgC (pétagramme de carbone) = 1015 g de C. D’autres publications utilisent la GtC (gigatonne de carbone) : 1 PgC = 1 GtC.
Les bilans de gaz à effet de serre utilisent plutôt le kgCOéq (kilogramme de CO équivalent).
3.4.2Le cycle du carbone¶
Du carbone (inséré dans des molécules, notamment celle de CO) est échangé entre différents réservoirs :
- l’atmosphère
- l’hydrosphère (les océans)
- la biosphère (la végétation)
- la lithosphère (les roches de la croûte terrestre en particulier le calcaire)
- le manteau terrestre (CO dissout)
Ces échanges se font avec des échelles de temps très différentes :
- entre l’atmosphère et la biosphère : de 1 à 100 ans
- entre l’atmosphère et l’océan : de 10 à 1000 ans
- entre l’atmosphère et la lithosphère : de 1000 à 10 000 ans
- l’altération des roches calcaires : entre 10 000 et 100 000 ans

Figure 9:Cette figure montre les principaux réservoirs de carbone (ronds, en PgC) et les principaux flux de carbone (flèches en PgC/an). La couleur orange indique le cycle « naturel » tandis que la couleur fushia montre les changement dûs aux activités humaines. Source : IPCC (2021), fig. 5.12.
La figure 9 montre les détails du cycle du carbone avec les réservoirs : sols et pergélisol[1], végétation, sédiments océaniques, carbone dissout dans l’océan (organique et inorganique), atmosphère et énergies fossiles (charbon, pétrole et gaz).
Les principaux échanges entre ces réservoirs sols et atmosphère d’une part, océans et atmosphère d’autre part sont à peu près à l’équilibre.
Les activités humaines avec la combustion des énergies fossiles, mais aussi la déforestation, entre autres, perturbent ces équilibres. Du carbone s’accumule en plus dans l’atmosphère, ainsi que dans les océans et dans les sols et la biosphère.
3.5Les activités humaines rejettent des gaz à effet de serre¶
La figure 10 montre la croissance (exponentielle !) des rejets de gaz à effet de serre par l’humanité depuis le 19e siècle. Les rejets actuels (en 2024) sont indiqués.

Figure 10:Les rejets des trois principaux gaz à effet anthropiques (CO, CH et NO) entre 1850 et 2024 en tCOéq. Tiré de Our World in Data.
En 2024, l’humanité a rejeté :
- 37,4 GtCO (soit 10,2 GtC) par la combustion d’énergies fossiles (avec une augmentation d’environ 1 %/an).
- 4,2 GtCO par changement d’usage des terres (déforestation) — en diminution de 20 %/an.
Soit 41,6 GtCO au total (ces rejets stagnent depuis environ 10 ans).
Toujours en 2024 :
- La concentration du CO dans l’atmosphère est de 422,5 ppm (parties par million) (+2,8 ppm/an), soit 52 % au-dessus du niveau pré-industriel (280 ppm).
- Les rejets d’autres gaz à effet de serre (que le CO) est d’environ 13 GtCO2é/an.
- Le total des gaz à effet de serre rejetés par an est environ de 54,6 GtCOé (Le CO représente environ 77 % de ce total).
3.6Les puits de carbone¶
Les rejets de dioxyde de carbone se retrouvent d’abord dans l’atmosphère. Environ 26 % est absorbé par les océans et 29 % par la végétation et les sols. Il ne reste « que » 48 % des rejets dans l’atmosphère, soit à peu près la moitié.

Figure 11:Les flux de carbone anthropiques annuels et leur répartition dans les différents réservoirs. Source : Friedlingstein et al. (2025).
3.7L’acidification des océans¶
Le CO dissout dans l’eau réagit chimiquement avec celle-ci pour former de l’acide carbonique (H2CO3) :
Acide carbonique qui se dissocie :
L’ion bicarbonate HCO se dissocie également :
En augmentant la quantité de CO dissout, on déplace les équilibres : l’ion bicarbonate augmente, l’ion hydrogène (H) également, tandis que l’ion carbonate (CO) diminue. L’augmentation de la concentration en ion hydrogène augmente l’acidité mesurée par le pH :
En moins de 200 ans, le pH moyen de l’océan est passé de 8,15 à 8,05. L’océan est toujours légèrement basique (pH > 7), mais un peu moins, il s’acidifie. Cette diminution de 0,1 du pH correspond à une augmentation de la concentration des ions H de 26 %.
Cette acidification a des conséquences sur la biodiversité :
- Les organismes au squelette de calcaire (corail) ou avec des coquilles (mollusques, ptéropodes — escargots) sont fragilisés.
- Les organismes marins doivent dépenser plus d’énergie pour réguler leur composition chimique, ce qui signifie une croissance moindre, une reproduction altérée, un stress accru, etc.
- Cela trouble l’odorat des poissons.
L’acidification des océans est l’une des neuf frontières planétaires et l’une des sept à être estimées dépassées (Findlay et al. (2025),Friedlingstein et al. (2025)).
4Observations du réchauffement climatique¶
4.1Augmentation de la température moyenne¶
On constate depuis plusieurs décennies que la température moyenne annuelle (sur toute la surface de la Terre) des basses couches de l’atmosphère augmente de façon importante, et ce depuis le milieu du 19e siècle environ, et après une période de relative stabilité de 10 000 ans (depuis la fin de la dernière glaciation). La figure 12 montre l’« anomalie de température[2] » c’est-à-dire l’écart de température par rapport à la moyenne des années 1951 à 1980, en fonction du temps, pour la période 1880-2020.

Figure 12:Anomalies moyennes observées de la température de surface (terres et océans) entre 1880 et 2024 à partir de trois jeux de données, par rapport à la période 1951-1980. Les points reliés montrent les données année par année tandis que la courbe rouge est une moyenne « lissée » et glissante sur une période de 20 ans. Source : NASA-GISS
4.2Évolution de la proportion de gaz à effet de serre¶
L’augmentation de la température moyenne à la surface du globe est corrélée avec l’augmentation de la proportion de gaz à effet de serre dans l’atmosphère (voir les figures 13 et %s).

Figure 13:Évolution de la concentration en CO dans l’atmosphère entre 1975 et 2015 mesurée à l’observatoire du Mauna Loa à Hawaï.

Figure 14:Corrélation entre l’anomalie de température et la concentration en CO pour différents jeux de données.
4.2.1Oxygène et dioxyde de carbone dans l’atmosphère¶
On peut mesurer l’évolution de la quantité d’oxygène dans l’atmosphère. Ce n’est pas une mesure aisée, car comme il y en a beaucoup, contrairement au dioxyde de carbone, les petites variations sont noyées dans la masse : il s’agit de mesurer des variations de l’ordre du millionième. On mesure plus facilement le rapport O/N.
La figure 15 reporte une telle mesure, effectuée à l’observatoire du Mauna Loa à Hawaï.

Figure 15:Évolution des concentrations de dioxygène et de dioxyde de carbone dans l’atmosphère mesurées à l’observatoire du Mauna Loa (MLO — Hawaï). Les données pour tracer le graphique sont issues de cette page. Remarque : on peut voir un cycle annuel dans ces mesures qui correspond à la respiration de la biosphère : entre mai et septembre, la photosynthèse augmente dans l’hémisphère nord qui abrite la plus grande surface de végétation : cela consomme du CO et produit de l’oxygène...
On peut en déduire que la diminution de l’oxygène et l’augmentation du dioxyde de carbone correspondent à peu près à la quantité d’oxygène nécessaire pour la combustion des produits carbonés.
4.3Réchauffement et irradiance solaire¶
La source de l’énergie du climat étant le Soleil, il est légitime de regarder si l’évolution de la puissance surfacique solaire reçue (irradiance solaire ou constante solaire) ne pourrait pas expliquer le réchauffement de la planète. L’irradiance solaire fluctue selon un cycle de période environ 11 ans à hauteur de moins de 0,1 %. Cela ne peut en aucun cas expliquer le réchauffement troposphérique terrestre observé. De surcroît, la corrélation visible sur la figure 16 entre anomalie de température de l’atmosphère et irradiance solaire jusqu’au milieu du 20e siècle disparaît ensuite.

Figure 16:Anomalie de température moyenne de la basse troposphère (GISTEMP v4) par rapport à la période de référence 1951-1980 et irradiance solaire totale (Données SATIRE-T). Les deux jeux de données sont représentés entre 1880 et 2020, avec un moyenne annuelle et une moyenne glissante sur 11 ans. Le trait en pointillés rouge indique la moyenne de l’irradiance solaire totale sur la période considérée ; le trait en pointillés bleu indique l’origine de l’anomalie de température considérée. Cette figure a été adaptée de cette page.
4.4Origine anthropique¶
Mais ces gaz à effet de serre sont-ils pour autant responsables de l’augmentation de la température moyenne ?
Cette question a fait couler beaucoup d’encre. Les climatologues répondent désormais avec une certitude que oui, la corrélation est causale, le réchauffement climatique est le résultat de l’augmentation de la quantité de gaz à effet de serre dans l’atmosphère, car ils comprennent parfaitement l’effet de serre.
Plusieurs indices concordants apportent une réponse positive à la question :
- L’irradiance solaire ne peut expliquer le réchauffement observé (figure 16).
- La figure 15 montre que c’est la combustion de produits carbonés qui engendre l’augmentation du dioxyde de carbone dans l’atmosphère.
- Par ailleurs, la rapidité de la variation de la température est sans précédent dans l’histoire géologique. La concentration en CO augmente de plus de 2 ppm par an, tandis que la température moyenne s’accroît de 0,2 °C chaque décennie.

Figure 17:Quand on « éteint » les forçages (ou contributions) humaines au climat dans les simulations, on obtient les courbes du bas, en bleu. Avec ces contributions, on obtient les courbes du haut, en rouge. La courbe noire est l’évolution de l’anomalie de température observée depuis 1850. Source : IPCC (2021), fig. SPM.1
Grâce aux simulations numériques du climat, les climatologues peuvent faire des expériences impossibles à mener dans le monde réel. Comme par exemple d’« éteindre » les contributions humaines au climat, ne gardant que les facteurs — ou forçages — naturels. Le résultat est éloquent : si jusqu’aux années 2000, la contribution humaine pouvait se situer dans les incertitudes des calculs, depuis plus de 20 ans, cela montre que le réchauffement est indéniablement dû aux activités humaines (figure 17).
4.5Paléoclimatologie¶
La paléoclimatologie est la science qui s’intéresse aux climat du passé de la Terre. Elle est instructive à différents niveaux relativement au changement climatique actuel.
La figure 18 montre l’évolution de l’anomalie de température à la surface du globe depuis 400 millions d’années. Cela nous apprend qu’il y a eu des périodes beaucoup plus chaudes qu’actuellement, comme entre 60 et 30 millions d’années. On constate également que le réchauffement actuel est inédit depuis 3 à 5 millions d’années, ce qui nous place aujourd’hui dans une époque climatique assez singulière.

Figure 18:Reconstruction de l’évolution de l’anomalie de température moyenne dans le passé, jusqu’à 400 millions d’années. Pour avoir quelques repères, l’extinction des dinosaures a eu lieu il y a 66 millions d’années, Homo Sapiens est apparu il y a environ 300 000 ans et l’agriculture débute avec le Néolithique (et la fin de la dernière glaciation) il y a environ 10 000 ans. Source : Haywood et al. (2019)

Figure 19:Écart de températures par rapport au 19e siècle sur les 5 derniers millions d’années, avec un zoom sur la dernière déglaciation entre -19 000 ans et -12 000 ans environ. D’après Mélières & Maréchal (2020).

Figure 20:Estimation de la vitesse du réchauffement actuel.
La figure 19 permet de déterminer l’ordre de grandeur de la vitesse du réchauffement lors de la dernière déglaciation entre -19 000 ans et -12 000 ans. Soit environ +5 °C sur 7000 ans, donc un « taux » de réchauffement de :
La figure 20 permet de faire le même exercice pour le climat actuel :
Le réchauffement actuel est donc 40 fois plus rapide : le changement est « fulgurant » ! Par ailleurs il semblerait que le réchauffement s’accélère (Foster & Rahmstorf (2026)) : avant 2015 (et depuis les années 1970), il était de 0,2 °C par décennie. Depuis 2025, le rythme du réchauffement atteint 0,35 °C par décennie.

Figure 21:Étendue des calottes glaciaires sur l’Europe lors du dernier maximum glaciaire il y a 20 000 ans. Source : Mélières & Maréchal (2020).

Figure 22:Étendue de la calotte glaciaire qui recouvrait les Alpes au dernier maximum glaciaire il y a 20 000 ans. Source : Mélières & Maréchal (2020).
Les figures 21 et 22 montrent les conséquences d’une variation de la température moyenne à la surface de la Terre de 5 °C. Au dernier maximum glaciaire, il y a 20 000 ans, la température était effectivement de 5 °C plus basse que pendant l’Holocène pré-industriel. La banquise arrivait dans le nord de l’Angleterre, la moitié de celle-ci était sous une calotte polaire[3]. Les Alpes étaient sous une vaste calotte de glace, les glaciers arrivaient presque à Lyon. Le niveau des mers était 130 m sous l’actuel : on pouvait aller en Angleterre à pieds secs !
5Les conséquences du réchauffement climatique¶
5.1Les évènements extrêmes¶
Les évènements extrêmes (voir la figure 23) sont ainsi définis car leurs paramètres climatiques (température, pression, quantité de précipitations, vitesse du vent...) ont des valeurs qui sont loin des valeurs moyennes (dans le temps et éventuellement dans l’espace).
Par exemple les tempêtes avec des vents violents, les vagues de chaleur avec des températures élevées, les vagues de froid, les inondations, etc. Des « extrêmes » dans une région peuvent ne pas l’être ailleurs : une canicule en France aura une autre définition en Arizona. Ces évènements climatiques extrêmes dépendent ainsi de l’endroit où ils ont lieu sur la planète.

Figure 23:Illustration de l’augmentation statistique des évènements extrêmes dans un climat en moyenne plus chaud.
Jusqu’à récemment il n’était pas possible d’attribuer une cause à un évènement climatique ou météorologique isolé. Mais depuis quelques années, les scientifiques sont en mesure de le faire pour des phénomènes extrêmes relativement simples : extrêmes de chaleur et de froid, précipitations extrêmes et sécheresse. Ce domaine émergent de la science du climat s’appelle l’attribution des évènements extrêmes.
La fréquence et l’intensité de ces évènements dans une région donnée, peut, quant à elle, être évaluée d’un point de vue statistique. Ainsi, les scientifiques montrent que la fréquence des vagues de chaleur augmente, ainsi que leur intensité ; inversement, les vagues de froid ont tendance à diminuer. Pour les précipitations intenses et les sécheresses, cela dépend des régions. Mais une atmosphère plus chaude contient plus de vapeur d’eau (7 % en plus par degré supplémentaire). Les précipitations, contraintes par d’autres facteurs (énergétiques, régionaux, nuages, etc.) augmentent globalement de seulement 1 à 3 %. Cela engendre tout de même des inondations plus fortes, mais aussi des sécheresses plus intenses selon les régions.
La proportion de cyclones de forte intensité a augmenté depuis 40 ans à cause du réchauffement climatique. La fréquence de ces évènements ne semble pas varier significativement à l’échelle du siècle.
5.2En France¶
Plus localement, en France, le réchauffement climatique est très clairement observable.

Figure 24:Les différentes vagues de chaleur observées en France entre 1900 et 2025. Source : Serge Zaka.

Figure 25:Les différentes vagues de froid observées en France entre 1900 et 2025. Source : Serge Zaka.
Les figures 24 et 25 montrent une augmentation significative des vagues de chaleur depuis les années 2000. Et inversement, depuis quelques décennies le nombre de vagues de froid diminue.

Figure 26:Carte de températures de la région parisienne le 19 juin 2025 à 0 h 13. Source : Christophe Cassou
La figure 26 montre l’effet d’îlot de chaleur urbaine : en effet, la ville de Paris est très clairement identifiable sur cette carte des températures. Il s’agit de températures nocturnes faisant suite à une journée très chaude (maximum 33 °C). Les villes emmagasinent plus facile la chaleur que la campagne environnante pendant les journées ensoleillées. Chaleur qui est restituée pendant la nuit. Il y a plusieurs raisons à cela : les sols bétonnés, l’absence de végétation, la verticalité qui empêche la circulation de l’air

Figure 27:Moyenne annuelle du niveau de la mer à Brest depuis le début du 19e siècle. Source.
La mer monte aussi sur les côtes françaises (figure 27).

Figure 28:Évolution des hauteurs de neige moyenne et de la température de l’air moyenne au Col de Porte, dans le massif de la Chartreuse à 1325 m d’altitude, sur 64 hivers (de l’hiver 1960/1961 à l’hiver 2024/2025). Source : Ministère de l’Écologie.
L’enneigement en basse montagne diminue. La figure 28 montre une diminution de la hauteur de neige moyenne (- 38 cm en 30 ans !) conséquence d’une hausse de la température moyenne (+ 1 °C en 30 ans). Les glaciers de montagne fondent inexorablement. En moyenne les cinq glaciers de la figure 29 ont perdu 25 mètres équivalent eau d’épaisseur en 20 ans (entre 2002 et 2021).

Figure 29:Variation d’épaisseur de 4 glaciers métropolitains (en m équivalent eau). Source : Ministère de l’Écologie.
Les grands glaciers du massif du Mont Blanc sont appelés à quasiment disparaitre d’ici 2100 (Vincent et al. (2019)).
Les conséquences de cela sont une diminution du stock de neige (-20 kg/m au 1er mai en moyenne sur tous les massifs métropolitains, soit -12 % par décennie par rapport à la normale sur 1981-2010), et donc une diminution du stock d’eau disponible.

Figure 30:Illustration de la migration verticale des espèces en montagne. Le réchauffement grimpe de 70 m en altitude chaque décennie. Les ronds verts indiquent le déplacement en altitude par décennie de différentes espèces. Source : CREA Mont Blanc.
La biodiversité est fortement affectée par le réchauffement climatique. Plus que le réchauffement en lui-même, c’est la rapidité à laquelle il se produit qui est fatal pour nombre d’espèces vivantes (Shivanna (2022)). En guise d’illustration, la figure 30 montre que le réchauffement grimpe en altitude en montagne de 70 m chaque décennie. Les espèces vivantes n’arrivent pas à suivre une telle vitesse : au mieux certains insectes peuvent gagner 35 m par décennie. Il est donc impossible au vivant de s’adapter.
5.3En résumé...¶
On peut résumer de manière factuelle le réchauffement climatique par les données suivantes :
- Température moyenne de l’atmosphère à la surface de la Terre due à l’effet de serre, sans réchauffement : .
- Anomalie moyenne de la température (2011-2022) de l’atmosphère à la surface de la Terre par rapport à la période 1850-1900 : .
- Taux d’augmentation de l’anomalie de température moyenne à la surface de la Terre : +0,22 °C/décennie.
- Effet de serre « normal » (puissance stockée dans l’atmosphère, les continents et les océans).
- Effet de serre additionnel (aujourd’hui) .
- Concentration de CO dans l’atmosphère à l’époque pré-industrielle : 280 ppm.
- Concentration de CO dans l’atmosphère aujourd’hui (2025) : 420 ppm.
- Taux d’augmentation de la concentration en CO dans l’atmosphère : + 2 ppm/an.
- Niveau des océans : + 20 cm en 117 ans (1901-2018), taux = 3,7 mm/an (2006-2018).
6Des scénarios pour le futur¶
Les climatologues ne peuvent pas faire de prédictions (modèles imprécis, évolution socio-économique de l’activité humaine incertaine...), mais calculent à l’aide de leurs modèles numériques des scénarios pour le futur, faisant telle ou telle hypothèse sur l’activité humaine.
Le rapport du GIEC de 2021 (AR6) présente 5 scénarios SSP (Shared Socio-economic Pathways) dont les grandes lignes peuvent être résumées selon (Lepousez & Aboukrat (2022)) :
- Les SSP1 et SSP5 envisagent des tendances relativement optimistes pour le développement humain, avec des investissements substantiels dans l’éducation et la santé, une croissance économique rapide et des institutions qui fonctionnent bien. Cependant, le SSP5 suppose une économie à forte intensité énergétique et basée sur les combustibles fossiles, alors que la SSP1 prévoit une évolution croissante vers des pratiques durables.
- Le SSP3 envisage des tendances de développement plus pessimistes, avec peu d’investissements dans l’éducation ou la santé, une croissance démographique rapide et des inégalités croissantes. Les pays donnent la priorité à la sécurité régionale, conduisant à des sociétés qui sont hautement vulnérables au changement climatique.
- Le scénario SSP2 envisage une trajectoire intermédiaire dans laquelle les tendances se poursuivent sans déviations substantielles.
Toutes les sociétés possibles ne sont cependant pas décrites. Celles-ci le sont dans une perspective de croissance économique ou de croissance verte (figure 31). L’hypothèse d’une décroissance puis d’une économie stationnaire n’est pas incluse.

Figure 31:PIB par habitant pour chacun des scénarios SSP : violet SSP5, orange SSP4, rouge SSP3, bleu SSP2 et vert SSP1. L’indice de Gini dans l’encadré quantifie le caractère inégalitaire d’une société (plus l’indice est petit plus la société est égalitaire). Tiré de Riahi et al. (2017).
Le GIEC présente ces scénarios avec la valeur du forçage radiatif en W/m atteint en 2100 dans le nom accolé au numéro (figure 32).
Les cinq scénarios retenus par le GIEC sont les suivants :
- Deux scénarios avec des émissions de GES élevées et très élevées SSP3-7.0 et SSP5-8.5
- Un scénario avec des émissions de GES intermédiaires : SSP2-4.5
- Deux scénarios avec des émissions de GES très faibles et faibles : SSP1-1.9 et SSP1-2.6
Néanmoins, compte tenu du forçage actuel (2,72 W/m), les scénarios à faibles émissions — SSP1-1.9 (1,9 W/m) et SSP1-2.6 (2,6 W/m) — sont désormais exclus.

Figure 32:Trajectoires de réchauffement pour 5 scénarios présentés dans le rapport du GIEC de 2021. Les scénarios SSP3-7.0 et SSP5-8.5 sont avec des émissions de gaz à effet de serre très élevées ; SSP2-4.5 avec des émissions moyennement élevées ; les scénarios SSP1-1.9 et SSP1-2.6 avec des émissions relativement faibles. Tiré de IPCC (2021).

Figure 33:Les cinq scénarios retenus par le GIEC dans le dernier rapport (AR6). D’après Lepousez & Aboukrat (2022).
La figure 33 résume les cinq scénarios du GIEC au regard de la trajectoire actuelle.
Le pergélisol (ou permafrost en anglais) est le sol gelé toute l’année que l’on trouve sous les hautes latitudes ou dans les montagnes en haute altitude.
On sait relativement bien — avec une faible incertitude — mesurer ou calculer des écarts moyens de température sur l’esemble de la planète et sur des échelles de temps longues (années ou plus), mais on connaît assez mal — avec une grande incertitude — la température absolue moyenne à la surface de la Terre.
Une banquise est une mer gelée, donc de la glace de mer qui flotte sur l’océan (comme la banquise Arctique actuellement autour du Pôle Nord. Une calotte est une épaisseur de glace au-dessus d’un continent. Il y en a actuellement deux, celle du Groenland et celle de l’Antarctique. Un glacier est une couche de glace qui s’écoule lentement dans une vallée montagneuse.
- Blanc, G., & Noûs, C. (2023). Physique et Enjeux de Société. In OPUS | Université Paris Cité. OPUS | Université Paris Cité. 10.53480/physique-societe.b046
- Trenberth, K. E., Fasullo, J. T., & Kiehl, J. (2009). Earth’s Global Energy Budget. Bulletin of the American Meteorological Society, 90(3), 311–324. 10.1175/2008BAMS2634.1
- IPCC. (2007). Fourth Assessment Report: Climate Change 2007: The AR4 Synthesis Report [Techreport]. Geneva: IPCC. http://www.ipcc.ch/ipccreports/ar4-wg1.htm
- IPCC. (2021). Climate Change 2021 : The Physical Science Basis [Techreport]. https://www.ipcc.ch/report/ar6/wg1/downloads/report/IPCC_AR6_WGI_Full_Report.pdf
- Friedlingstein, P., O’Sullivan, M., Jones, M. W., Andrew, R. M., Hauck, J., Landschützer, P., Le Quéré, C., Li, H., Luijkx, I. T., Olsen, A., Peters, G. P., Peters, W., Pongratz, J., Schwingshackl, C., Sitch, S., Canadell, J. G., Ciais, P., Jackson, R. B., Alin, S. R., … Zeng, J. (2025). Global Carbon Budget 2024. Earth System Science Data, 17(3), 965–1039. 10.5194/essd-17-965-2025
- Findlay, H. S., Feely, R. A., Jiang, L.-Q., Pelletier, G., & Bednaršek, N. (2025). Ocean Acidification: Another Planetary Boundary Crossed. Global Change Biology, 31(6), e70238. 10.1111/gcb.70238
- Haywood, A. M., Valdes, P. J., Aze, T., Barlow, N., Burke, A., Dolan, A. M., Von Der Heydt, A. S., Hill, D. J., Jamieson, S. S. R., Otto-Bliesner, B. L., Salzmann, U., Saupe, E., & Voss, J. (2019). What Can Palaeoclimate Modelling Do for You? Earth Systems and Environment, 3(1), 1–18. 10.1007/s41748-019-00093-1
- Mélières, M.-A., & Maréchal, C. (2020). Climat : Passé, Présent, Futur. Belin Éditeur / Humensis. https://hal.science/hal-04849490
- Foster, G., & Rahmstorf, S. (2026). Global Warming Has Accelerated Significantly. Geophysical Research Letters, 53(5), e2025GL118804. 10.1029/2025GL118804
- Vincent, C., Peyaud, V., Laarman, O., Six, D., Gilbert, A., Gillet-Chaulet, F., Berthier, É., Morin, S., Verfaillie, D., Rabatel, A., Jourdain, B., & Bolibar, J. (2019). Déclin des deux plus grands glaciers des Alpes françaises au cours du XXIe siècle : Argentière et Mer de Glace. La Météorologie, 106, 49. 10.4267/2042/70369
- Shivanna, K. R. (2022). Climate Change and Its Impact on Biodiversity and Human Welfare. Proceedings of the Indian National Science Academy. Part A, Physical Sciences, 88(2), 160–171. 10.1007/s43538-022-00073-6
- Lepousez, V., & Aboukrat, M. (2022). Les Scénarios SSP : Décryptage et Recommandations d’utilisation Pour Une Démarche d’adaptation Au Changement Climatique [Techreport]. Carbone 4. https://www.carbone4.com/files/Publication_Carbone_4_Decryptage_SSP_et_recommandations.pdf?_gl=1*12t6ik7*_ga*MTQzNjg1ODExNi4xNzA1OTA2NDkx*_ga_DDFFFJ3G7F*MTcwNTkwNjQ5MC4xLjAuMTcwNTkwNjQ5MC42MC4wLjA.&_ga=2.170882917.455869103.1705906491-1436858116.1705906491
- Riahi, K., van Vuuren, D. P., Kriegler, E., Edmonds, J., O’Neill, B. C., Fujimori, S., Bauer, N., Calvin, K., Dellink, R., Fricko, O., Lutz, W., Popp, A., Cuaresma, J. C., Kc, S., Leimbach, M., Jiang, L., Kram, T., Rao, S., Emmerling, J., … Tavoni, M. (2017). The Shared Socioeconomic Pathways and Their Energy, Land Use, and Greenhouse Gas Emissions Implications: An Overview. Global Environmental Change, 42, 153–168. 10.1016/j.gloenvcha.2016.05.009